电白李源芳公(式唐公家谱)
和谐电白 小学四年级 注册 2006-06-16 帖子 261 反馈评分 2 点数 1 2016-08-15 #26 电白李源芳公(式唐公家谱) 附件 a上册封面.JPG 691.1 KB · 查看: 1,060 a序01.JPG 708.4 KB · 查看: 1,072 a序02.JPG 704.5 KB · 查看: 1,070 z01.JPG 694.1 KB · 查看: 1,132
和谐电白 小学四年级 注册 2006-06-16 帖子 261 反馈评分 2 点数 1 2016-08-15 #27 续接上页 附件 z01.JPG 694.1 KB · 查看: 1,069 z02.JPG 706.4 KB · 查看: 990 z03.JPG 696.8 KB · 查看: 1,073
一 一林 幼儿园 注册 2017-06-13 帖子 3 反馈评分 0 点数 0 2017-07-28 #28 mhtc 说: 电白李氏来源住要有几支:1,沙琅柳村,始祖李源芳。后代聚居坡心,黄岭,林头,蛋场,红花;2,蛋场金村,始祖李远宏,宋代任天台知县,宋末妻携其儿迁居电海。后代聚居红花,蛋场,树仔,电城;3,树仔黑泥村一带,传来自唐朝皇族,随李德裕谪迁海南,途中落居海边,后分迁黄岭,化州,高州,吴川,后代聚居树仔,马踏,电城。4,羊角凰崭,后分迁高州,吴川。后代聚居羊角。 [欢迎指正,欢迎跟帖] 。 点击展开... mhtc 说: 电白李氏来源住要有几支:1,沙琅柳村,始祖李源芳。后代聚居坡心,黄岭,林头,蛋场,红花;2,蛋场金村,始祖李远宏,宋代任天台知县,宋末妻携其儿迁居电海。后代聚居红花,蛋场,树仔,电城;3,树仔黑泥村一带,传来自唐朝皇族,随李德裕谪迁海南,途中落居海边,后分迁黄岭,化州,高州,吴川,后代聚居树仔,马踏,电城。4,羊角凰崭,后分迁高州,吴川。后代聚居羊角。 [欢迎指正,欢迎跟帖] 。 点击展开...
mhtc 说: 电白李氏来源住要有几支:1,沙琅柳村,始祖李源芳。后代聚居坡心,黄岭,林头,蛋场,红花;2,蛋场金村,始祖李远宏,宋代任天台知县,宋末妻携其儿迁居电海。后代聚居红花,蛋场,树仔,电城;3,树仔黑泥村一带,传来自唐朝皇族,随李德裕谪迁海南,途中落居海边,后分迁黄岭,化州,高州,吴川,后代聚居树仔,马踏,电城。4,羊角凰崭,后分迁高州,吴川。后代聚居羊角。 [欢迎指正,欢迎跟帖] 。 点击展开... mhtc 说: 电白李氏来源住要有几支:1,沙琅柳村,始祖李源芳。后代聚居坡心,黄岭,林头,蛋场,红花;2,蛋场金村,始祖李远宏,宋代任天台知县,宋末妻携其儿迁居电海。后代聚居红花,蛋场,树仔,电城;3,树仔黑泥村一带,传来自唐朝皇族,随李德裕谪迁海南,途中落居海边,后分迁黄岭,化州,高州,吴川,后代聚居树仔,马踏,电城。4,羊角凰崭,后分迁高州,吴川。后代聚居羊角。 [欢迎指正,欢迎跟帖] 。 点击展开...
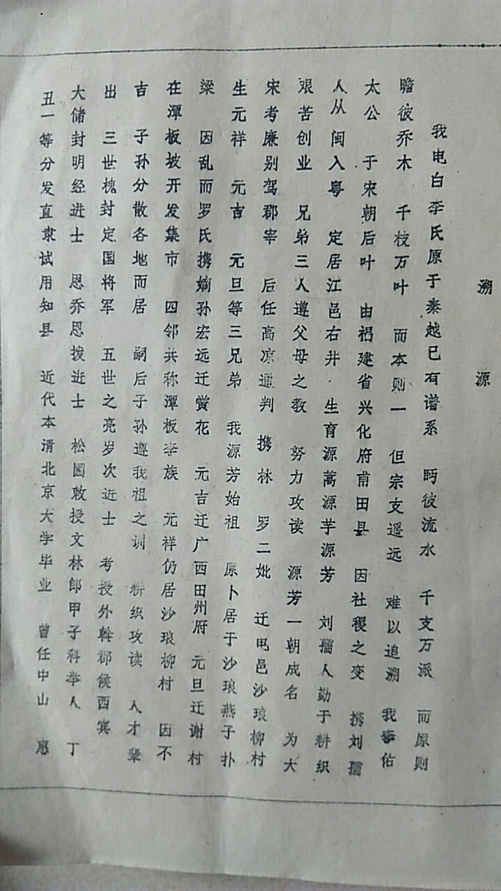
一 一林 幼儿园 注册 2017-06-13 帖子 3 反馈评分 0 点数 0 2017-07-28 #29 我广东电白沙琅镇柳村源芳李族。南宋末年我族开族始祖李源芳(大宋考廉别驾郡宰,后任高凉通判)随父李祐(佑)公由福建省兴化府甫田县由闽入粤,徙居江邑古井。妣刘孺人育源篙、源芋、源芳三兄弟,我源芳公从高凉任满解任卜居电白沙琅镇柳村三塘岭燕子卜樑。妣林氏太婆育二世祖大房元祥公居本地,二房元吉迁广西田州府(地址不够详细),三房元旦迁电白坡心,妣罗氏太婆育宏吉迁黄岗、宏远迁电白红花。 自文革后60~70年代我族广西支系宗亲偶有回来祭祖(祭祖日为三月初十,一直延用至今),但没有来往交流记录。80年代后已少有来往信息。现为续修族谱团结宗亲,特发此函寻找宗枝流源,望有所知情的李家兄弟多多提供线索。诚意感谢!
我广东电白沙琅镇柳村源芳李族。南宋末年我族开族始祖李源芳(大宋考廉别驾郡宰,后任高凉通判)随父李祐(佑)公由福建省兴化府甫田县由闽入粤,徙居江邑古井。妣刘孺人育源篙、源芋、源芳三兄弟,我源芳公从高凉任满解任卜居电白沙琅镇柳村三塘岭燕子卜樑。妣林氏太婆育二世祖大房元祥公居本地,二房元吉迁广西田州府(地址不够详细),三房元旦迁电白坡心,妣罗氏太婆育宏吉迁黄岗、宏远迁电白红花。 自文革后60~70年代我族广西支系宗亲偶有回来祭祖(祭祖日为三月初十,一直延用至今),但没有来往交流记录。80年代后已少有来往信息。现为续修族谱团结宗亲,特发此函寻找宗枝流源,望有所知情的李家兄弟多多提供线索。诚意感谢!